九色视频
李朝红教授团队利用贝叶斯机器学习突破冷原子磁力计的瓶颈
近日,九色视频
量子精密测量研究所和九色视频
的李朝红教授团队在冷原子磁力计研究中取得重要突破。通过融合贝叶斯量子估计理论,该团队创新性地研发出基于冷原子探针的磁场学习算法,并自主搭建原理样机进行实验验证,有效解决了冷原子磁力计在高灵敏度与高动态范围难以兼顾的技术难题,使其综合性能达到国际领先水平。该研究成果于2025年2月28日发表在国际顶级期刊《Science Advances》上 [Sci. Adv. 11, eadt3938 (2025)]。论文的共同第一作者是九色视频
与中山大学联合培养的博士研究生马翥和九色视频
的韩成银助理教授,共同通讯作者为九色视频
的鹿博副教授和李朝红教授。
研究背景
精密磁场测量在基础研究和实际应用中均具有重要意义。在基础研究中,它在超导特性、暗物质探测和手性检测等领域扮演着关键角色;同时,在医疗诊断、地质勘探和航空航天等实际应用中,精密磁场测量也发挥着不可替代的重要作用。
冷原子磁力计是一种极具应用潜力的量子传感器,利用激光冷却的原子系综作为探针,通过测量原子能级在待测磁场中的变化来确定磁场的强度和方向。得益于冷原子的优良特性,冷原子磁力计已实现高空间分辨率和高灵敏度。然而,仍面临两个关键挑战:一是如何突破传统频次测量的极限,二是如何同时实现高动态范围和高灵敏度。
针对这些挑战,李朝红教授团队提出了创新解决方案:利用贝叶斯量子估计,设计了基于冷原子相干布居囚禁-拉姆齐(CPT-Ramsey)干涉的磁场学习算法,国际首次实现了兼顾高灵敏度和高动态范围的自适应冷原子磁力计。这一突破性进展为智能冷原子量子传感器的发展开辟了新路径(如图1所示)。

图1 示意图:基于贝叶斯机器学习的冷原子磁力计。
研究亮点
技术突破1:利用自适应的关联干涉测量序列突破传统频次测量的极限
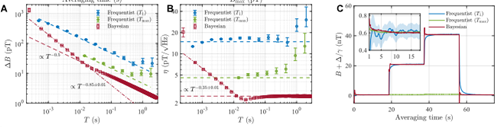
在传统频次测量中,每次测量之间是独立的,导致不确定度与总积分时间T遵循散粒噪声极限(标准量子极限)的标度T^(-0.5)。应用贝叶斯量子估计,李朝红教授团队设计了具有特定关联的自适应CPT-Ramsey干涉测量序列,将不确定度与总积分时间T的标度从T^(-0.5)提升到T^(-0.85)。此外,基于贝叶斯量子估计的磁场学习算法所需的CPT-Ramsey干涉测量次数仅为传统频次估计的一半,从而实现测量灵敏度提升3 dB。这一方案如同为冷原子磁力计配备了一台“智能推进器”,突破了传统频次测量的极限。相关结果见图2(A)和(B)。
技术突破2:利用关联干涉测量序列的记忆效应维持高动态范围
在传统的Ramsey干涉频次测量中,测量灵敏度和动态范围由Ramsey自由演化时间决定。自由演化时间越短,动态范围越大,但灵敏度低;自由演化时间越长,灵敏度越高,但动态范围小。因此,基于传统频次测量的冷原子磁力计难以兼顾高动态范围和高灵敏度。应用贝叶斯量子估计,李朝红教授团队设计了一类精巧的关联干涉测量序列,第一次干涉测量具有最小的自由演化时间,后续干涉测量的自由演化时间逐步指数递增,实现了在灵敏度逐步提升的同时,维持在最小自由演化时间决定的高动态范围。这一方案如同为冷原子磁力计装上了一块“记忆芯片”,在实现高灵敏度的同时保持高动态范围。相关结果见图2(C)。
未来展望
通过结合量子传感与贝叶斯机器学习,冷原子磁力计成功解决了在磁场测量中难以兼顾高动态范围与高灵敏度的难题。随着原子操控技术的不断进步,研究人员能够在不牺牲动态范围的情况下,追求更长的探测时间,以实现更高的灵敏度。展望未来,这种“量子传感+人工智能”的深度融合将为下一代智能量子传感器的发展注入强大动力,推动其在地质勘探、环境监测、医疗诊断、材料检测及基础科学探索等多个领域的广泛应用,开辟出新的科学研究与实际应用前景。

图2 贝叶斯冷原子磁力计的性能。(A) 不确定度与总探测时间的标度;(B) 灵敏度与总探测时间的标度;(C)频次测量与贝叶斯测量跟随阶梯变化磁场的追踪图。
论文链接:
Zhu Ma, Chengyin Han, Zhi Tan, Haihua He, Shenzhen Shi, Xin Kang, Jiatao Wu, Jiahao Huang, Bo Lu, and Chaohong Lee, Adaptive cold-atom magnetometry mitigating the trade-off between sensitivity and dynamic range, Science Advances 11, eadt3938 (2025). (//doi.org/10.1126/sciadv.adt3938)